《澳洲分行分行執照(2011.11.24)》

(A01242 )
關鍵字: 澳洲分行分行,執照,
典藏大類 : 公司治理
MGT03
出版(產製年分): 2001
包含頁數(掃描影像、物件...): 3 A4
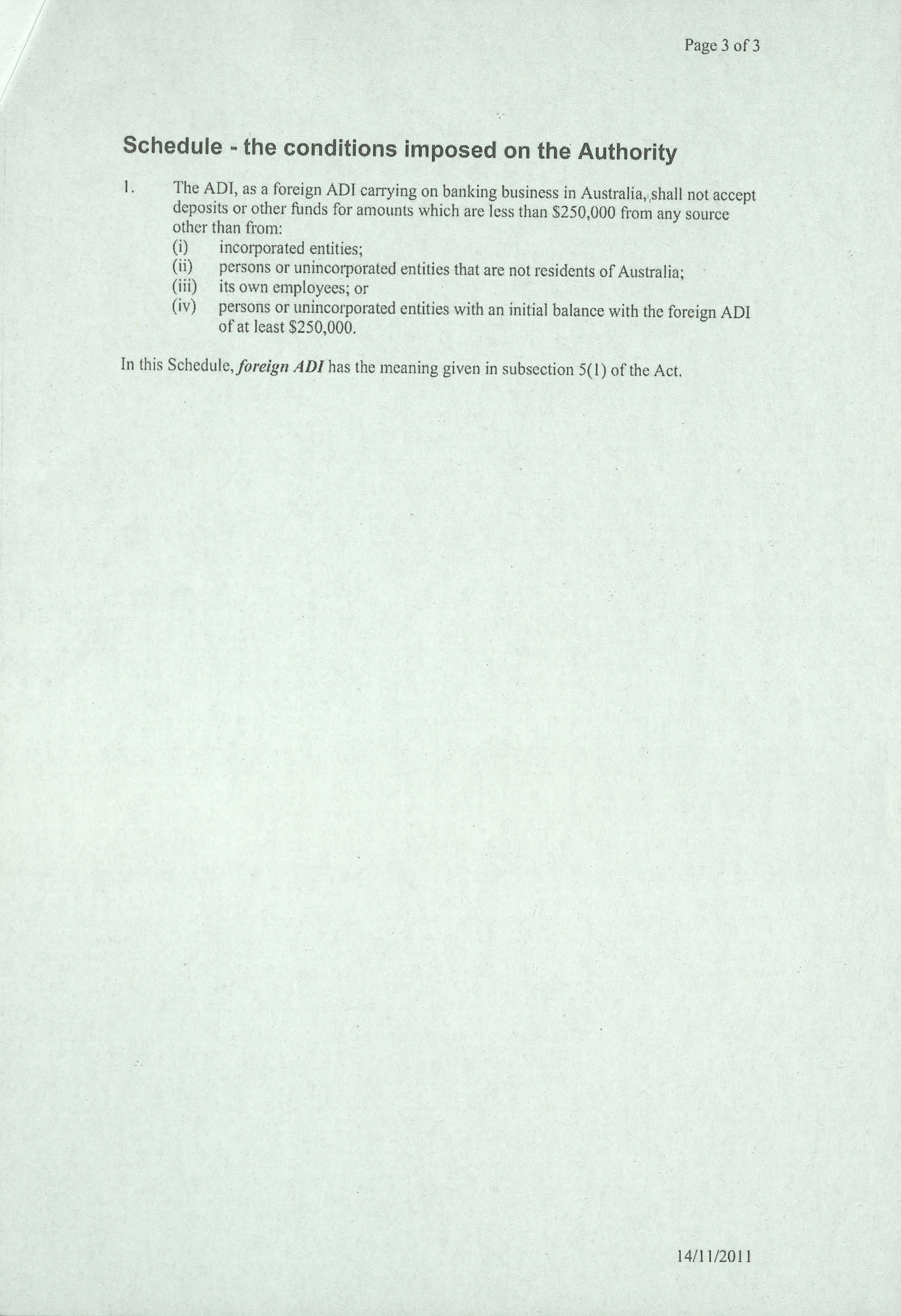
摘要: 澳洲政府於2011年核准華南銀行可於當地開展銀行業務,授予正式執照,附帶業務類型與資本等條件限制。
人物: ,,
記載時間起迄: -
-
引用資訊:〈澳洲分行分行執照(2011.11.24)〉(2001),《華南銀行數位典藏資料庫》,典藏號:A01242,檢索日期:2026年04月。
  • [1] 1
  • [2] 2
  • [3] 3
    影像第 1 頁 (點選一下影像大圖後,您可以用鍵盤上的向左/向右鍵瀏覽上一頁、下一頁) 旋轉: 90° 180° 270° 放大 縮小 重設
    1
    影像第 2 頁 (點選一下影像大圖後,您可以用鍵盤上的向左/向右鍵瀏覽上一頁、下一頁) 旋轉: 90° 180° 270° 放大 縮小 重設
    2
    影像第 3 頁 (點選一下影像大圖後,您可以用鍵盤上的向左/向右鍵瀏覽上一頁、下一頁) 旋轉: 90° 180° 270° 放大 縮小 重設
    3