《CHINESE CURRENCY AND EQUIVALENTS》

(A01507 )
關鍵字: CHINESE CURRENCY AND EQUIVALENTS,,
典藏大類 : 公司治理
MGT07
出版(產製年分):
包含頁數(掃描影像、物件...): 3 1張 A4
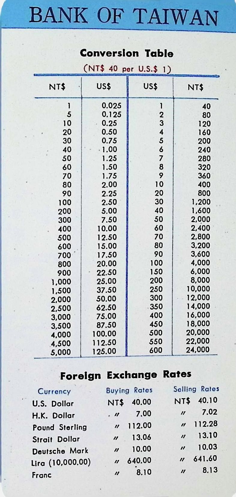
摘要: 本資料為台灣銀行製作之外幣現鈔與匯率換算手冊,提供幣值兌換表與實體鈔幣樣式,協助外幣兌換與匯率查詢,供出入境旅客參考使用。
人物: ,,
記載時間起迄: -
-
引用資訊:〈CHINESE CURRENCY AND EQUIVALENTS〉(-),《華南銀行數位典藏資料庫》,典藏號:A01507,檢索日期:2026年04月。
  • [1] 1
  • [2] 2
  • [3] 3
    影像第 1 頁 (點選一下影像大圖後,您可以用鍵盤上的向左/向右鍵瀏覽上一頁、下一頁) 旋轉: 90° 180° 270° 放大 縮小 重設
    1
    影像第 2 頁 (點選一下影像大圖後,您可以用鍵盤上的向左/向右鍵瀏覽上一頁、下一頁) 旋轉: 90° 180° 270° 放大 縮小 重設
    2
    影像第 3 頁 (點選一下影像大圖後,您可以用鍵盤上的向左/向右鍵瀏覽上一頁、下一頁) 旋轉: 90° 180° 270° 放大 縮小 重設
    3